데이터가 어떤 범주(class)에 속할 확률을 0에서 1사이의 값으로 예측하고 그 확률에 따라 가능성이 더 높은 범주에
속하는 것으로 분류해주는 지도 학습 알고리즘
이진 분류(스팸/햄, 합격/불합격)나 다중 분류(와인 3종류)할 때 쓰는 선형 모델
입력 특징들에 가중치를 곱해서 직선을(또는 초평면) 만든 다음,
그 결과를 시그모이드/소프트맥스로 확률로 바꿔서 “이 클래스일 확률이 얼마야”라고 말해주는 모델
이진(sigmod)/다중(softmax) 분류 모두에 사용
시그모이드(Sigmoid) 함수를 사용해 확률을 계산
P = sigmoid(z) z=0이면 0.5, z가 커질수록 1에 가깝고, 작아질수록 0에 가깝다
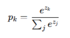
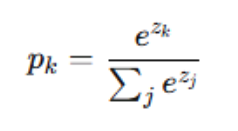
소프트맥스함수: 다중 분류에 사용

입력 데이터가 각 클래스에 속할 확률 계산
모든 클래스 확률 더하면 1.0
소프트맥스 K=2는 시그모이드와 동일
from sklearn.linear_model import LogisticRegression
model = LogisticRegression(
class_weight="balanced",
max_iter=1000,
solver="lbfgs",
n_jobs=None,
random_state=42,
)
'''
class_weight="balanced"
데이터가 불균형할 때 쓰는 옵션
더 적은 클래스에 더 큰 가중치
weight(c) = (n)samples / ( n(classes) * n(samples of class c) )
max_iter=1000
로지스틱 회귀는 내부적으로 최적화(반복) 를 하면서 가중치를 찾는데
그 반복을 최대 몇 번까지 할 거냐를 정하는 값
기본값은 100인데, 특징이 많거나 정규화가 안 되면 100번 안에 안 끝날 수 있어서 경고가 나와
그래서 1000으로 올려놓으면 “수렴 못 했어요” 경고 덜 봄
solver="lbfgs"
파라미터를 어떻게 최적화할 거냐를 정하는 알고리즘 선택이야
lbfgs:다중 클래스(multi_class='auto')에서도 잘 되며
비교적 안정적이고 데이터가 너무 크지만 않으면 무난한 선택
손실함수의 경사를 활용(L2규제 사용)
liblinear: 소규모/이진분류에 좋음
saga: L1 규제, 대규모 데이터에 좋음
n_jobs=None
“얼마나 많은 CPU 코어를 병렬 처리에 쓸까?”라는 뜻
로지스틱회귀에서 이게 크게 영향 없는 경우도 있음
None이면 기본값(1코어)
n_jobs=-1로 하면 사용할 수 있는 코어를 다 쓰도록 하는 패턴이 많음
penalty="l2": 기본 규제 방식
C=1.0: 규제 강도(작을수록 규제를 강하게)
multi_class="auto": 클래스가 2개면 이진, 3개 이상이면 자동으로 softmax 방식'''
PipeLine
pipe = Pipeline(
[
("scaler", StandardScaler()),
(
"clf",
LogisticRegression(
class_weight="balanced",
max_iter=1000,
solver="lbfgs",
n_jobs=None,
random_state=42,
),
),
]
)
'''
전처리(StandardScaler) + 모델(LogisticRegression) 을 하나의 파이프라인 객체로 묶는 것
교차검증/테스트 시, 스케일러는 훈련 폴드에서만 fit되고 검증/테스트에는 transform만 자동 적용
fit() 한 번 호출로 전처리→학습이 순서대로 자동 수행
GridSearchCV에서 전처리/모델 하이퍼파라미터를 한 번에 탐색 가능
재현성/배포 용이: 학습에 쓰인 전처리 파라미터(평균·표준편차 등)까지 함께 저장되어 그대로 배포 가능'''
교차 검증
주어진 데이터를 가지고 반복적으로 성과를 측정하여 그 결과를 평균한 것으로 모델를 평가하는 방법
K-Fold 교차 검증(K-Fold Cross Validation)
1. 전체 데이터를 Shuffle
2. K개의 폴드로 데이터를 분할
3. K번째 폴드를 검증용 자료, 나머지 폴드를 훈련용 자료로 사용하
여 K번 반복 측정
4. 결과를 평균 낸 값을 최종 평가로 사용
5. K>=2로 사용
데이터가 충분하지 않을 경우 사용
클래스 불균형 데이터에는 적합하지 않음 (데이터 개수가 작은 클래스에 가중치 주어 보완 가능)
cv = StratifiedKFold(n_splits=5, shuffle=True, random_state=42)
# 사용 예시
from sklearn.model_selection import cross_val_score
from sklearn.linear_model import LogisticRegression
from sklearn.datasets import load_wine
from sklearn.model_selection import StratifiedKFold
X, y = load_wine(return_X_y=True)
cv = StratifiedKFold(n_splits=5, shuffle=True, random_state=42)
model = LogisticRegression(max_iter=1000)
scores = cross_val_score(model, X, y, cv=cv, scoring='accuracy')
print("각 fold 정확도:", scores)
print("평균 정확도:", scores.mean())
GridSearchCV()
하이퍼파라미터 조합을 모두 시도하고
각 조합에 대해 교차검증을 수행해서
가장 성능이 좋은 조합 탐색
grid = GridSearchCV(
estimator=pipe,
param_grid=param_grid,
scoring="roc_auc", # 하이퍼파라미터 선택 기준 점수
cv=cv, # 검증 방식
n_jobs=-1, # 가능한 코어 활용(그리드 탐색에만 적용)
refit=True, # 최고 점수 모델로 자동 재학습
return_train_score=True,
)
'''
얻을 수 있는 주요 속성
grid.best_params_ 최고 점수를 낸 파라미터 조합
grid.best_score_ 최고 평균 검증 점수
grid.best_estimator_ 최고 조합으로 학습된 최종 모델
grid.cv_results_ 모든 조합의 세부 점수 정보 (dict 형태)'''
'''
cv_results_
mean_train_score : 폴드별 훈련 점수의 평균
std_train_score : 폴드별 훈련 점수의 표준편차
split0_train_score, split1_train_score, ... : 각 폴드의 훈련 점수
mean_test_score : 폴드별 테스트 점수의 평균
std_ test _score : 폴드별 테스트 점수의 표준편차
split0_ test _score, split1_ test _score, ... : 각 폴드의 테스트 점수
mean_train_score ≫ mean_test_score → 과적합 의심(훈련은 잘 맞는데 일반화가 떨어짐)
둘 다 낮음 → 과소적합(모델이 단순하거나 신호가 약함)
'''
'''
estimator=pipe
pipe = Pipeline([
('scaler', StandardScaler()),
('model', LogisticRegression())
])
이런 형태로 파이프라인(전처리 + 모델)을 넣음
계속 이 pipe를 학습시키면서 모든 하이퍼파라미터 조합을 시험 함
param_grid=param_grid
탐색할 하이퍼파라미터 후보 목록을 딕셔너리 형태로 넣는 곳
예시
param_grid = {
'model__C': [0.01, 0.1, 1, 10], # 값이 작을 수록 규제가 강함(모델단순,과적합줄임)
'model__solver': ['lbfgs', 'liblinear']
}
scoring="roc_auc"
성능을 평가할 기준(metric)”을 지정
accuracy → 정확도
precision, recall, f1
roc_auc → ROC 커브 아래 면적 (이진 분류에서 자주 사용)
cv=cv
어떤 교차검증 방법을 쓸지 지정
예시
cv = StratifiedKFold(n_splits=5, shuffle=True, random_state=42)
n_jobs=-1
병렬처리 몇 코어 쓸래
-1은 → CPU 가능한 코어 모두 사용
데이터 많거나 파라미터 조합 많을 때 필수
refit=True
리드 탐색 끝나면, **가장 좋은 파라미터 조합(best_params_)**으로
전체 데이터를 다시 학습(refit)할지 여부
True면 이게 실행됨
grid.best_estimator_.fit(X, y)
return_train_score=True
기본적으로는 **검증 점수(cv_score)**만 저장하는데
이걸 True로 두면 훈련 점수(train_score)도 같이 기록
과적합(overfitting) 여부를 확인할 때 유용
예시
grid.cv_results_로 보면
{
'mean_train_score': [...],
'mean_test_score': [...],
'params': [...]
}'''
수동으로 그냥 보는거
# cross_val_score()
사이킷런의 교차 검증용 함수
지정한 모델(pipe)을 여러 번 학습시켜서 평균 성능을 계산
cv_auc = cross_val_score(pipe, x_train, y_train, cv=cv, scoring="roc_auc")
cv_acc = cross_val_score(pipe, x_train, y_train, scoring="accuracy")
# auc
여기서는 AUC(ROC 커브 아래 면적) 기준으로 교차검증 점수를 구함
AUC는 모델이 클래스 구분을 얼마나 잘하는지를 나타내는 지표
1.0이면 완벽 구분
0.5면 그냥 랜덤 수준
분류 문제가 불균형하거나 “정확도만 보면 안 되는 상황”에서 유용
# acc
정확도(accuracy) 기준으로 같은 교차검증을 수행
모델이 예측을 몇 퍼센트 맞췄는지 단순히 보는 지표
데이터가 균형 잡혀 있을 때는 AUC보다 간단하게 성능을 확인
예시
import numpy as np
import pandas as pd
import matplotlib.pyplot as plt
import seaborn as sns
from sklearn.datasets import load_breast_cancer
from sklearn.model_selection import train_test_split, StratifiedKFold, GridSearchCV
from sklearn.preprocessing import StandardScaler
from sklearn.pipeline import Pipeline
from sklearn.linear_model import LogisticRegression
from sklearn.model_selection import cross_val_score, GridSearchCV
from sklearn.metrics import (
accuracy_score,
roc_curve,
precision_score,
recall_score,
f1_score,
roc_auc_score,
confusion_matrix,
classification_report,
)
data = load_breast_cancer(as_frame=True)
print(data.frame)
X = data.frame.drop(columns=["target"])
Y = data.frame["target"]
x_train, x_test, y_train, y_test = train_test_split(
X, Y, test_size=0.2, random_state=42, stratify=Y
)
pipe = Pipeline(
[
("scaler", StandardScaler()),
(
"clf",
LogisticRegression(
class_weight="balanced",
max_iter=1000,
solver="lbfgs",
n_jobs=None,
random_state=42,
),
),
]
)
cv = StratifiedKFold(n_splits=5, shuffle=True, random_state=42)
param_grid = {"clf__C": [0.01, 0.1, 0.3, 1, 3, 10]}
grid = GridSearchCV(
estimator=pipe,
param_grid=param_grid,
scoring="roc_auc", # 하이퍼파라미터 선택 기준 점수
cv=cv, # 검증 방식
n_jobs=-1, # 가능한 코어 활용(그리드 탐색에만 적용)
refit=True, # 최고 점수 모델로 자동 재학습
return_train_score=True,
)
grid.fit(x_train, y_train)
print("Best Params : ", grid.best_params_)
print("Best CV ROC AUC : ", grid.best_score_)
cvres = (
pd.DataFrame(grid.cv_results_)
.loc[:, ["params", "mean_test_score", "mean_train_score"]]
.sort_values("mean_test_score", ascending=False)
)
print(cvres.head(10))
best_model = grid.best_estimator_
y_pred = best_model.predict(x_test)
y_pred_proba = best_model.predict_proba(x_test)[:, 1]
acc = accuracy_score(y_test, y_pred) # 정확도
prec = precision_score(y_test, y_pred) # 정밀도
rec = recall_score(y_test, y_pred) # 재현율
auc = roc_auc_score(y_test, y_pred_proba)
print("acc : ", acc)
print("prec :", prec)
print("rec : ", rec)
print("auc : ", auc)
print(classification_report(y_test, y_pred, digits=3))
cm = confusion_matrix(y_test, y_pred)
print(cm)
print(pd.DataFrame(cm, index=["악성", "양성"], columns=["악성", "양성"]))
과대적합
훈련 점수: 높음
검증, 테스트 점수: 낮음
원인: 모델의 매개변수가 많거나, 데이터/졍규화 부족, 노이즈까지 외움
해결법
Feature의 개수를 줄이거나, Dropout(신경망)을 수행
Regularization, 규제 강도 강화
계수의 값을 줄이거나 0으로 만들어서 모델을 단순화
과소적합
훈련, 검증, 테스트 점수 낮음
원인: 모델 너무 단순, 학습 불충분, 중요한 특징 미포함
해결법
모델 복잡도 올림
학습 더 오래
특징 추가/개선
Feature의 개수를 줄이거나, Dropout(신경망)을 수행
▪ Regularization, 규제 강도 강화
• 계수의 값을 줄이거나 0으로 만들어서 모델을 단순화
평가지표

예시 코드
from __future__ import division
import numpy as np
import pandas as pd
import matplotlib.pyplot as plt
import seaborn as sns
from sklearn.datasets import load_breast_cancer
from sklearn.model_selection import train_test_split, StratifiedKFold, GridSearchCV
from sklearn.preprocessing import StandardScaler
from sklearn.pipeline import Pipeline
from sklearn.linear_model import LogisticRegression
from sklearn.model_selection import cross_val_score, GridSearchCV
from sklearn.metrics import (
accuracy_score,
roc_curve,
precision_score,
recall_score,
f1_score,
roc_auc_score,
confusion_matrix,
classification_report,
)
# 한글
from matplotlib import font_manager, rc
import platform
if platform.system() == "Windows":
plt.rc("font", family="Malgun Gothic")
elif platform.system() == "Darwin": # macOS
plt.rc("font", family="AppleGothic")
else: # 리눅스 계열 (예: 구글코랩, 우분투)
plt.rc("font", family="NanumGothic")
plt.rcParams["axes.unicode_minus"] = False # 마이너스 깨짐 방지
df = sns.load_dataset("titanic")
# 결측치 제거. 결측치 있으면 스케일러가 못 다룸
df = df.dropna(subset=["age", "embarked", "sex", "class"])
print(df)
# 원핫 인코딩
df_encoded = pd.get_dummies(df, drop_first=True)
print(df_encoded)
#! "alive_yes"이거 가 survived랑 같은 데이터라 있으면 데이터누수 나서 정확도 1이 나옴
X = df_encoded.drop(columns=["survived", "alive_yes"])
Y = df_encoded["survived"]
fig, axes = plt.subplots(2, 2, figsize=(14, 10))
# 객실 등급이 좋을 수록 살 가능성이 높음
sns.barplot(data=df, x="class", y="survived", estimator="mean", ax=axes[0, 0])
axes[0, 0].set_title("Class별 생존률")
axes[0, 0].set_ylabel("생존률")
axes[0, 0].set_xlabel("객실 등급")
x_train, x_test, y_train, y_test = train_test_split(
X, Y, test_size=0.2, random_state=42, stratify=Y
)
pipe = Pipeline(
[
("scaler", StandardScaler()),
(
"clf",
LogisticRegression(
class_weight="balanced",
max_iter=1000,
solver="lbfgs",
n_jobs=None,
random_state=42,
),
),
]
)
cv = StratifiedKFold(n_splits=5, shuffle=True, random_state=42)
param_grid = {"clf__C": [0.01, 0.1, 0.3, 1, 3, 10]}
grid = GridSearchCV(
estimator=pipe,
param_grid=param_grid,
scoring="roc_auc", # 하이퍼파라미터 선택 기준 점수
cv=cv, # 검증 방식
n_jobs=-1, # 가능한 코어 활용(그리드 탐색에만 적용)
refit=True, # 최고 점수 모델로 자동 재학습
return_train_score=True,
)
grid.fit(x_train, y_train)
print("Best Params : ", grid.best_params_)
print("Best CV ROC AUC : ", grid.best_score_)
cvres = (
pd.DataFrame(grid.cv_results_)
.loc[:, ["params", "mean_test_score", "mean_train_score"]]
.sort_values("mean_test_score", ascending=False)
)
print(cvres.head(10))
best_model = grid.best_estimator_
y_pred = best_model.predict(x_test)
y_pred_proba = best_model.predict_proba(x_test)[:, 1]
acc = accuracy_score(y_test, y_pred) # 정확도
prec = precision_score(y_test, y_pred) # 정밀도
rec = recall_score(y_test, y_pred) # 재현율
f1 = f1_score(y_test, y_pred)
auc = roc_auc_score(y_test, y_pred_proba)
print("acc : ", acc)
print("prec :", prec)
print("rec : ", rec)
print("f1 : ", f1)
print("auc : ", auc)
metrics = {
"Accuracy": acc,
"Precision": prec,
"Recall": rec,
"F1-score": f1,
"ROC AUC": auc,
}
df_metrics = pd.DataFrame(list(metrics.items()), columns=["Metric", "Score"])
sns.barplot(data=df_metrics, x="Score", y="Metric", ax=axes[0, 1], palette="crest")
axes[0, 1].set_title("모델 성능 지표")
axes[0, 1].set_xlim(0, 1.05)
for i, v in enumerate(df_metrics["Score"]):
axes[0, 1].text(v, i, f"{v:.3f}", va="center")
print(classification_report(y_test, y_pred, digits=3))
cm = confusion_matrix(y_test, y_pred)
print(cm)
print(
pd.DataFrame(
cm, index=["실제: 사망", "실제: 생존"], columns=["예측: 사망", "예측: 생존"]
)
)
fpr, tpr, thresholds = roc_curve(y_test, y_pred_proba)
print(fpr)
print(tpr)
print(thresholds)
# AUC 값이 0.858이 나오는데 성능이 좋은 편임
# 생존자 1명과 사망자 1명을 뽑았을때 85% 확률로 생존자 예측
axes[1, 0].plot(fpr, tpr, label=f"AUC = {auc:.3f}")
axes[1, 0].plot([1, 0], [1, 0], "k--", alpha=0.5)
axes[1, 0].set_title("ROC 곡선")
axes[1, 0].set_xlabel("False Positive Rate")
axes[1, 0].set_ylabel("True Positive Rate")
axes[1, 0].legend(loc="lower right")
# 피처 중요도 분석
coefs = best_model.named_steps["clf"].coef_[0] # 로지스틱 회귀 계수
features = X.columns
importance = pd.DataFrame({"feature": features, "coef": coefs})
importance["abs_coef"] = importance["coef"].abs()
importance = importance.sort_values("abs_coef", ascending=False)
print(importance.head(15))
# survived에 영향을 가장 많이 주는건 성별임을 알 수 있음
# 성인 남자 일수록 살 가능성이 덕음
sns.barplot(
data=importance.head(15), x="coef", y="feature", palette="vlag", ax=axes[1, 1]
)
axes[1, 1].set_title("로지스틱 회귀 - 피처 중요도(상위 15개)")
axes[1, 1].axvline(0, color="gray", linestyle="--")
axes[1, 1].set_xlabel("계수 (coef)")
axes[1, 1].set_ylabel("")
plt.tight_layout()
plt.show()'데이터 분석 > 머신러닝, 딥러닝' 카테고리의 다른 글
| 랜덤 포레스트(Random Forest) (0) | 2025.11.05 |
|---|---|
| 앙상블 기법 (0) | 2025.11.05 |
| 결정 트리(Decision Tree) (0) | 2025.11.05 |
| K-Nearest Neighbors(KNN) 최근접 이웃 알고리즘 (0) | 2025.11.03 |
| 머신러닝 (0) | 2025.11.03 |