순열

function solution(arr, n) {
let result = []
function DFS(n, tempArr) {
if (n === 0) return result.push(tempArr)
for (let i = 0; i < arr.length; i++) {
if (!tempArr.includes(arr[i])) DFS(n - 1, tempArr.concat(arr[i]));
}
}
DFS(n, [])
return result
}
// n만 주어졌을 때
function solution(n) {
let result = []
let N = n
function DFS(n, tempArr) {
if (n === 0) return result.push(tempArr)
for (let i = 1; i <= N; i++) {
if (!tempArr.includes(i)) DFS(n - 1, tempArr.concat(i))
}
}
DFS(n, [])
return result
}
// 경우의 수만 구하기
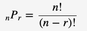
function solution(n, r) {
return factorial(n) / factorial(n - r)
}
중복 순열

function solution(arr, n) {
let result = []
function DFS(n, tempArr) {
if (n === 0) return result.push(tempArr)
for (let i = 0; i < arr.length; i++) {
DFS(n - 1, tempArr.concat(arr[i]))
}
}
DFS(n, [])
return result
}
// n만 주어졌을 때
function solution(n) {
let result = []
let N = n
function DFS(n, tempArr) {
if (n === 0) return result.push(tempArr)
for (let i = 1; i <= N; i++) {
DFS(n - 1, tempArr.concat(i))
}
}
DFS(n, [])
return result
}
더 빠르게 하는법 중복조합 말고 다른애들도 참고
// n과 m이 주어졌을 때 n은 1부터 n까지, m은 몇개 뽑을지
// 이건 push안쓰고 배열의 요소값을 바꾸는거라 2배정도 빠름
function solution(n, m) {
let result = []
let tmp = new Array(m).fill(0)
function DFS(L) {
if (L === m) result.push(tmp.slice())
else {
for (let i = 1; i <= n; i++) {
tmp[L] = i
DFS(L + 1)
}
}
}
DFS(0)
return result
}
// 경우의 수만 구하기
function solution(n, r) {
return n ** r
}
조합

function solution(arr, n) {
let result = []
function combination(n, tempArr, index) {
if (n === 0) return result.push(tempArr)
for (let i = index; i < arr.length; i++) {
combination(n - 1, tempArr.concat(arr[i]), i + 1)
}
}
combination(n, [], 0)
return result
}
// n만 주어졌을 때
어차피 1개임
// 경우의 수만 구하기
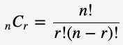
function solution(n, r) {
return factorial(n) / (factorial(r) * factorial(n - r))
}
중복 조합

function solution(arr, n) {
let result = []
function combination(n, tempArr, index) {
if (n === 0) return result.push(tempArr)
for (let i = index; i < arr.length; i++) {
combination(n - 1, tempArr.concat(arr[i]), i)
}
}
combination(n, [], 0)
return result
}
// n만 주어졌을 때
function solution(n) {
let result = []
let N = n
function combination(n, tempArr, index) {
if (n === 0) return result.push(tempArr)
for (let i = index; i < N; i++) {
combination(n - 1, tempArr.concat(i), i)
}
}
combination(n, [], 0)
return result
}
// 경우의 수만 구하기
function solution(n, r) {
return factorial(n + r - 1) / (factorial(r) * factorial(n - 1))
}
사용한 factorial 함수
function factorial(n) {
return n ? n * factorial(n - 1) : 1
}