데이터 분석/머신러닝, 딥러닝
RandomForest까지의 종합적 예제
fullfish
2025. 11. 6. 16:12
0. 데이터 (seaborn : penguins)
1. 데이터 전처리
- 수치형/범주형 변수 분리
- 결측치 처리(수치형(median)/범주형(mode))
- 범주형 데이터 인코딩(one-hot-encoding)
2. 원시데이터 시각화
- 클래스 불균형
- 수치형 변수들의 분포(히스토그램)
- 이상치 및 분포 확인(박스플롯, 바이올린 플롯)
- 수치형 변수가의 상관관계(히트맵)
3. ColumnTransformer()
-수치형 컬럼 스케일링
4. pipeline()
5. 교차검증객체 생성
6. gridsearchCV()
7. (학습/테스트)데이터 분리
8. 학습
9. 테스트
10. 테스트 점수 출력
11. 변수 중요도(mdi, mda)
12. 변수 중요도 시각화
from __future__ import division
import numpy as np
import pandas as pd
import matplotlib.pyplot as plt
import seaborn as sns
from sklearn.model_selection import train_test_split, StratifiedKFold, GridSearchCV
from sklearn.preprocessing import StandardScaler
from sklearn.ensemble import RandomForestClassifier
from sklearn.pipeline import Pipeline
from sklearn.model_selection import cross_val_score, GridSearchCV
from sklearn.inspection import permutation_importance
from sklearn.metrics import (
accuracy_score,
precision_score,
recall_score,
f1_score,
roc_auc_score,
confusion_matrix,
classification_report,
)
import matplotlib.pyplot as plt
from sklearn.model_selection import train_test_split, StratifiedKFold, GridSearchCV
from sklearn.preprocessing import StandardScaler
from sklearn.pipeline import Pipeline
from sklearn.metrics import (
accuracy_score,
roc_auc_score,
classification_report,
)
# 한글
from matplotlib import font_manager, rc
import platform
if platform.system() == "Windows":
plt.rc("font", family="Malgun Gothic")
elif platform.system() == "Darwin": # macOS
plt.rc("font", family="AppleGothic")
else: # 리눅스 계열 (예: 구글코랩, 우분투)
plt.rc("font", family="NanumGothic")
plt.rcParams["axes.unicode_minus"] = False # 마이너스 깨짐 방지
# ----------------------------------------
# species island bill_length_mm bill_depth_mm flipper_length_mm body_mass_g sex
df = sns.load_dataset("penguins")
# 수치형 컬럼과 범주형 컬럼 구분
num_cols = df.select_dtypes(include=["number"]).columns
cat_cols = df.select_dtypes(exclude=["number"]).columns
# 수치형은 중앙값으로 결측치 채우기
for col in num_cols:
df.fillna({col: df[col].median()}, inplace=True)
# 범주형 → 최빈값으로 결측치 채우기
for col in cat_cols:
df.fillna({col: df[col].mode()[0]}, inplace=True)
print(df)
X = df.drop(columns=["species"])
X_encoded = pd.get_dummies(data=X, dtype="int", drop_first=False)
Y = df["species"]
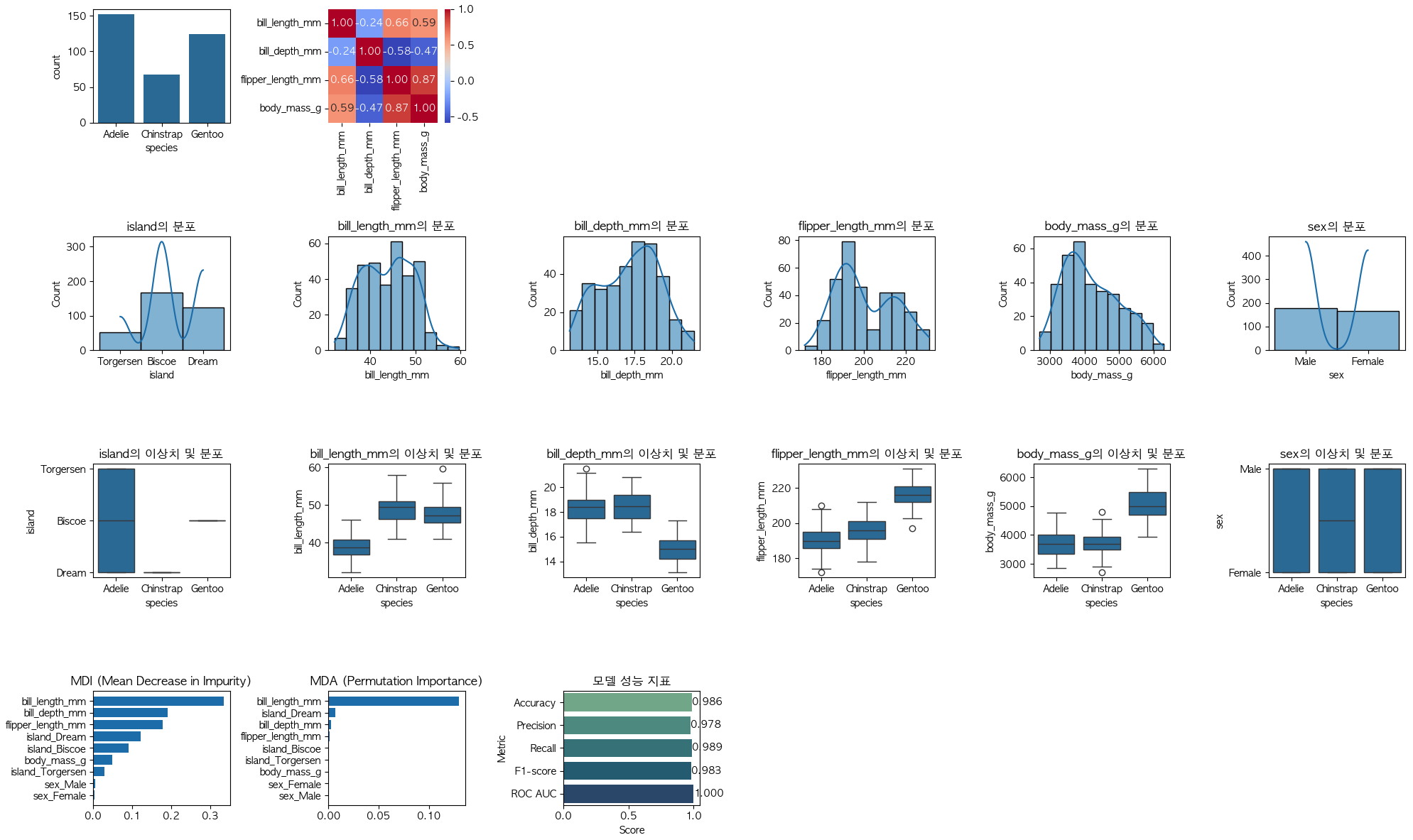
# 원시데이터 시각화
fig, axes = plt.subplots(4, 6, figsize=(20, 12))
corr = df[num_cols].corr()
sns.countplot(data=df, x="species", ax=axes[0, 0])
sns.heatmap(corr, annot=True, fmt=".2f", cmap="coolwarm", ax=axes[0, 1])
for index, col in enumerate(X.columns):
sns.histplot(data=df, x=col, kde=True, ax=axes[1, index])
axes[1, index].set_title(f"{col}의 분포")
for index, col in enumerate(X.columns):
sns.boxplot(data=df, x="species", y=col, ax=axes[2, index])
axes[2, index].set_title(f"{col}의 이상치 및 분포")
x_train, x_test, y_train, y_test = train_test_split(
X_encoded, Y, test_size=0.2, random_state=42, stratify=Y
)
# ColumnTransformer() -수치형 컬럼 스케일링
pipe = Pipeline(
[
("scaler", StandardScaler()),
(
"model",
RandomForestClassifier(
n_estimators=200, random_state=42, class_weight="balanced", n_jobs=-1
),
),
]
)
# 교차 검증 객체 생성
cv = StratifiedKFold(n_splits=5, shuffle=True, random_state=42)
# gridsearchCV
param_grid = {
"model__n_estimators": [100, 200, 300],
"model__max_depth": [None, 5, 10],
"model__min_samples_leaf": [1, 2, 4],
"model__max_features": [None, "sqrt", "log2"],
}
grid = GridSearchCV(
estimator=pipe,
param_grid=param_grid,
scoring="roc_auc_ovr", # 하이퍼파라미터 선택 기준 점수
cv=cv, # 검증 방식
n_jobs=-1, # 가능한 코어 활용(그리드 탐색에만 적용)
refit=True, # 최고 점수 모델로 자동 재학습
return_train_score=True,
)
grid.fit(x_train, y_train)
print("Best Params : ", grid.best_params_)
print("Best CV ROC AUC : ", grid.best_score_)
best_estimator = grid.best_estimator_
best_model = best_estimator.named_steps["model"]
y_pred = best_estimator.predict(x_test)
y_proba = best_estimator.predict_proba(x_test)
# 다중분류 average="macro" 기본 값은 binary인데 이건 이진 분류에서만
acc = accuracy_score(y_test, y_pred) # 정확도
prec = precision_score(y_test, y_pred, average="macro") # 정밀도
rec = recall_score(y_test, y_pred, average="macro") # 재현율
f1 = f1_score(y_test, y_pred, average="macro")
auc = roc_auc_score(y_test, y_proba, multi_class="ovr")
print("Test accuracy:", acc)
print("Test ROC AUC (ovr):", auc)
print("Classification report:\n", classification_report(y_test, y_pred))
metrics = {
"Accuracy": acc,
"Precision": prec,
"Recall": rec,
"F1-score": f1,
"ROC AUC": auc,
}
df_metrics = pd.DataFrame(list(metrics.items()), columns=["Metric", "Score"])
sns.barplot(data=df_metrics, x="Score", y="Metric", ax=axes[3, 2], palette="crest")
axes[3, 2].set_title("모델 성능 지표")
axes[3, 2].set_xlim(0, 1.05)
for i, v in enumerate(df_metrics["Score"]):
axes[3, 2].text(v, i, f"{v:.3f}", va="center")
# MDI
importances = best_model.feature_importances_
feature_names = x_train.columns
mdi_df = pd.DataFrame({"feature": feature_names, "importance": importances})
mdi_df.sort_values("importance", ascending=False, inplace=True)
# MDA
perm = permutation_importance(
best_estimator,
x_test,
y_test,
n_repeats=30,
scoring="roc_auc_ovr",
random_state=42,
n_jobs=-1,
)
mda_df = pd.Series(perm.importances_mean, index=x_train.columns).sort_values(
ascending=False
)
# 시각화
axes[3, 0].barh(mdi_df.head(10)["feature"][::-1], mdi_df.head(10)["importance"][::-1])
axes[3, 0].set_title("MDI (Mean Decrease in Impurity)")
axes[3, 1].barh(mda_df.head(10).index[::-1], mda_df.head(10).values[::-1])
axes[3, 1].set_title("MDA (Permutation Importance)")
for ax in axes.flat: # 1차원으로 평탄화
if not ax.has_data(): # 빈 거면 안뜨게
ax.set_visible(False)
plt.tight_layout()
plt.show()

ColumnTransformer
이거를 쓰면 원핫인코딩과 스케일링이 파이프라인 안에서 한번에 됨
언제 굳이 ColumnTransformer 쓰냐
실무처럼 “새 데이터가 또 들어올 건데, 이때도 같은 전처리 해줘”를 자동으로 하고 싶을 때
수치형은 스케일링, 범주형은 원핫, 어떤 건 빼고, 이런 걸 한 번에 묶어서 GridSearch까지 같이 하고 싶을 때
나중에 이 파이프라인을 joblib으로 저장해서 쓰거나, 배포하는 코드에 넣을 때 이럴 때는 ColumnTransformer가 이득. 한 군데만 정의해두면 됨
이거 쓴 예제
from __future__ import division
import numpy as np
import pandas as pd
import matplotlib.pyplot as plt
import seaborn as sns
from sklearn.model_selection import train_test_split, StratifiedKFold, GridSearchCV
from sklearn.preprocessing import StandardScaler, OneHotEncoder
from sklearn.compose import ColumnTransformer
from sklearn.ensemble import RandomForestClassifier
from sklearn.pipeline import Pipeline
from sklearn.metrics import (
accuracy_score,
precision_score,
recall_score,
f1_score,
roc_auc_score,
classification_report,
)
from sklearn.inspection import permutation_importance
import platform
# 한글 설정
if platform.system() == "Windows":
plt.rc("font", family="Malgun Gothic")
elif platform.system() == "Darwin":
plt.rc("font", family="AppleGothic")
else:
plt.rc("font", family="NanumGothic")
plt.rcParams["axes.unicode_minus"] = False
# 1. 데이터
df = sns.load_dataset("penguins")
# 2. 결측치 처리 (df 전체에서 먼저)
num_cols_all = df.select_dtypes(include=["number"]).columns
cat_cols_all = df.select_dtypes(exclude=["number"]).columns
for col in num_cols_all:
df[col].fillna(df[col].median(), inplace=True)
for col in cat_cols_all:
df[col].fillna(df[col].mode()[0], inplace=True)
# 3. X, y 분리
X = df.drop(columns=["species"])
y = df["species"]
# 4. 숫자/범주형 다시 나누기 (이제 여기서 뽑은 걸 ColumnTransformer에 넣을 거임)
num_cols = X.select_dtypes(include=["number"]).columns
cat_cols = X.select_dtypes(exclude=["number"]).columns
# 5. ColumnTransformer 정의
preprocessor = ColumnTransformer(
transformers=[
("num", StandardScaler(), num_cols),
("cat", OneHotEncoder(handle_unknown="ignore"), cat_cols),
],
remainder="drop",
)
# 6. 파이프라인 (전처리 → 모델)
pipe = Pipeline(
steps=[
("preprocessor", preprocessor),
(
"model",
RandomForestClassifier(
n_estimators=200,
random_state=42,
class_weight="balanced",
n_jobs=-1,
),
),
]
)
# 7. 시각화 (여기는 네 원래 코드 스타일 유지해도 됨: 인코딩 전 X로 그린다)
fig, axes = plt.subplots(4, 6, figsize=(20, 12))
corr = df[num_cols].corr()
sns.countplot(data=df, x="species", ax=axes[0, 0])
sns.heatmap(corr, annot=True, fmt=".2f", cmap="coolwarm", ax=axes[0, 1])
# 숫자형만 히스토그램, 박스플롯
for idx, col in enumerate(num_cols):
sns.histplot(data=df, x=col, kde=True, ax=axes[1, idx])
axes[1, idx].set_title(f"{col}의 분포")
for idx, col in enumerate(num_cols):
sns.boxplot(data=df, x="species", y=col, ax=axes[2, idx])
axes[2, idx].set_title(f"{col}의 이상치 및 분포")
# 8. train/test split은 원본 X로
x_train, x_test, y_train, y_test = train_test_split(
X, y, test_size=0.2, random_state=42, stratify=y
)
# 9. 교차검증 객체
cv = StratifiedKFold(n_splits=5, shuffle=True, random_state=42)
# 10. GridSearchCV (이제 estimator가 pipe임)
param_grid = {
"model__n_estimators": [100, 200, 300],
"model__max_depth": [None, 5, 10],
"model__min_samples_leaf": [1, 2, 4],
"model__max_features": [None, "sqrt", "log2"],
}
grid = GridSearchCV(
estimator=pipe,
param_grid=param_grid,
scoring="roc_auc_ovr",
cv=cv,
n_jobs=-1,
refit=True,
return_train_score=True,
)
grid.fit(x_train, y_train)
print("Best Params :", grid.best_params_)
print("Best CV ROC AUC :", grid.best_score_)
best_estimator = grid.best_estimator_
best_model = best_estimator.named_steps["model"]
best_preprocessor = best_estimator.named_steps["preprocessor"]
# 11. 예측
y_pred = best_estimator.predict(x_test)
y_proba = best_estimator.predict_proba(x_test)
acc = accuracy_score(y_test, y_pred)
prec = precision_score(y_test, y_pred, average="macro")
rec = recall_score(y_test, y_pred, average="macro")
f1 = f1_score(y_test, y_pred, average="macro")
auc = roc_auc_score(y_test, y_proba, multi_class="ovr")
print("Test accuracy:", acc)
print("Test ROC AUC (ovr):", auc)
print("Classification report:\n", classification_report(y_test, y_pred))
# 12. 성능 막대 그래프 (네 원래 코드 그대로)
metrics = {
"Accuracy": acc,
"Precision": prec,
"Recall": rec,
"F1-score": f1,
"ROC AUC": auc,
}
df_metrics = pd.DataFrame(list(metrics.items()), columns=["Metric", "Score"])
sns.barplot(data=df_metrics, x="Score", y="Metric", ax=axes[3, 2], palette="crest")
axes[3, 2].set_title("모델 성능 지표")
axes[3, 2].set_xlim(0, 1.05)
for i, v in enumerate(df_metrics["Score"]):
axes[3, 2].text(v, i, f"{v:.3f}", va="center")
# 13. MDI (RandomForest 내장 중요도) → 전처리된 컬럼 이름 필요
feat_names = best_preprocessor.get_feature_names_out()
importances = best_model.feature_importances_
mdi_df = pd.DataFrame({"feature": feat_names, "importance": importances}).sort_values(
"importance", ascending=False
)
axes[3, 0].barh(mdi_df.head(10)["feature"][::-1], mdi_df.head(10)["importance"][::-1])
axes[3, 0].set_title("MDI (Mean Decrease in Impurity)")
# 14. MDA (Permutation Importance) → 파이프라인에 원본 X 넣었으니 이름은 원본 X.columns로
perm = permutation_importance(
best_estimator,
x_test,
y_test,
n_repeats=30,
scoring="roc_auc_ovr",
random_state=42,
n_jobs=-1,
)
mda_df = pd.Series(perm.importances_mean, index=X.columns).sort_values(ascending=False)
axes[3, 1].barh(mda_df.head(10).index[::-1], mda_df.head(10).values[::-1])
axes[3, 1].set_title("MDA (Permutation Importance)")
# 15. 빈 축 숨기기
for ax in axes.flat:
if not ax.has_data():
ax.set_visible(False)
plt.tight_layout()
plt.show()
파이프라인 안에서 원핫인코딩을 하다보니까 열의 개수가 늘어남
그래서 바뀌는 부분들이 있음
----------------------------------------------
그리고 사실 지금 이코드들은 데이터 누수가 일어 남
1. 결측치를 전체 데이터에서 채웠음
먼저 train, test 분리하고 train기준 결측치를 채우고 그 값을 test에도 적용
2. 원핫인코딩을 split전에 했음. test에 이미 컬럼이 생겨서 알게 되어 버림
누수 막기 예시
결측치랑 원핫인코딩을 안에서 해버림
from sklearn.compose import ColumnTransformer
from sklearn.impute import SimpleImputer
from sklearn.preprocessing import OneHotEncoder
from sklearn.pipeline import Pipeline
from sklearn.ensemble import RandomForestClassifier
df = sns.load_dataset("penguins")
X = df.drop(columns=["species"])
y = df["species"]
num_cols = X.select_dtypes(include=["number"]).columns
cat_cols = X.select_dtypes(exclude=["number"]).columns
x_train, x_test, y_train, y_test = train_test_split(
X, y, test_size=0.2, random_state=42, stratify=y
)
preprocess = ColumnTransformer(
transformers=[
("num", Pipeline([
("imputer", SimpleImputer(strategy="median")),
("scaler", StandardScaler()),
]), num_cols),
("cat", Pipeline([
("imputer", SimpleImputer(strategy="most_frequent")),
("ohe", OneHotEncoder(handle_unknown="ignore")),
]), cat_cols),
]
)
pipe = Pipeline(
[
("prep", preprocess),
("model", RandomForestClassifier(
n_estimators=200,
random_state=42,
class_weight="balanced",
n_jobs=-1,
)),
]
)
-----------------------------
이렇게 해도 됨
num_pipe = Pipeline(steps=[
("num", SimpleImputer(strategy="median")),
("scaler", StandardScaler())
])
cat_pipe = Pipeline(steps=[
("cat", SimpleImputer(strategy="most_frequent")),
("cat_encode", OneHotEncoder(handle_unknown="ignore")),
])
preprocess = ColumnTransformer(
transformers=[
("num_pre", num_pipe, num_cols),
("cat_pre", cat_pipe, cat_cols),
],
remainder="passthrough",
)



